JSS University Mysore 2025
NAAC A+ Accredited| Ranked #24 in University Category by NIRF | Applications open for multiple UG & PG Programs
नीट फॉर्मूला शीट 2026 (NEET Formula Sheet 2026 in hindi) - नीट परीक्षा में भौतिकी और रसायन विज्ञान के लिए महत्वपूर्ण नीट सूत्र परीक्षा में अच्छे अंक प्राप्त करने में सहायक होते हैं। नीट एक अत्यधिक प्रतिस्पर्धी परीक्षा है जहां गति और सटीकता सबसे अधिक मायने रखती है। भौतिकी और रसायन विज्ञान के लिए एक महत्वपूर्ण फ़ॉर्मूला शीट होना आपकी तैयारी और सफलता के लिए आवश्यक है। टिप्स पर फ़ॉर्मूले सीखना आपको आत्मविश्वासी बनाता है, और समस्या-समाधान में कुशल बनाता है, और नीट परीक्षा में समय बचाता है। हमने नीट सिलेबस से नीट 2026 के लिए फाइनल नीट फ़ॉर्मूला शीट (NEET formula sheet for 2026 in hindi) प्रदान कर रहे हैं, जिसमें नीट भौतिकी (NEET physics in hindi) और नीट रसायन विज्ञान (NEET Chemistry in hindi) के सभी महत्वपूर्ण फ़ॉर्मूले शामिल हैं।
आपको यह समझना होगा कि अंतिम समय में रिवीजन के दौरान नीट फिजिक्स और केमिस्ट्री के फॉर्मूलों को याद करना कितना महत्वपूर्ण है। हमने नीट भौतिकी और रसायन विज्ञान के टॉप 11 सबसे अधिक स्कोरिंग अवधारणाओं से नीट फॉर्मूलों की सूची संकलित की है। यह नीट फॉर्मूला शीट पीडीएफ अंतिम समय में नीट परीक्षा की तैयारी के लिए मार्गदर्शन के रूप में कार्य करेगी।
मैकेनिक्स और इलेक्ट्रोडायनामिक्स से लेकर ऑर्गेनिक और इनऑर्गेनिक केमिस्ट्री तक, हमने नीट पीडीएफ 2026 के लिए केमिस्ट्री फॉर्मूला शीट संकलित की है, जिसकी आपको नीट परीक्षा में सफलता पाने के लिए आवश्यकता है। इस अपरिहार्य संसाधन के साथ अपने रिवीजन को बेहतर बनाएं, अपना आत्मविश्वास बढ़ाएं और अपने स्कोर को बढ़ाने के प्रयास करें। समझें कि अंतिम समय में रिवीजन के दौरान NEET भौतिकी और रसायन विज्ञान NEET फ़ार्मुलों के लिए महत्वपूर्ण फ़ार्मुलों को याद रखना कितना महत्वपूर्ण है। नीट 2026 (NEET 2026 in hindi) में उत्कृष्टता प्राप्त करने में आपकी मदद करने वाले प्रमुख फ़ार्मुलों को जानने के लिए लेख को आगे विस्तार से पढ़ें।
NAAC A+ Accredited| Ranked #24 in University Category by NIRF | Applications open for multiple UG & PG Programs
पिछले वर्षों में देखे गए नीट परीक्षा रुझानों के आधार पर नीट के लिए महत्वपूर्ण भौतिकी सूत्र यहां दिए गए हैं। इस तालिका में पिछले 5 वर्षों में सबसे ज़्यादा अंक प्राप्त करने वाली अवधारणाएँ, नीट में उनके आने की संख्या और वे वर्ष शामिल हैं जिनमें इन अवधारणाओं पर आधारित प्रश्न पूछे गए थे। भौतिकी नीट 2026 फॉर्मूला शीट इन्हीं उच्च अंक प्राप्त करने वाली अवधारणाओं पर आधारित है।
हमने पिछले 5 वर्षों में देखे गए नीट परीक्षा रुझानों के आधार पर नीट के लिए महत्वपूर्ण भौतिकी फॉर्मूला तैयार किया है। नीचे दी गई तालिका में पिछले 5 वर्षों में उच्चतम स्कोरिंग अवधारणाएं, नीट में वे कितनी बार आए है, और वे वर्ष जिनमें प्रश्न इन अवधारणाओं पर आधारित थे, शामिल हैं। नीट भौतिकी फॉर्मूला सूची इन उच्च स्कोरिंग अवधारणाओं पर आधारित है।
क्रम संख्या | अवधारणा_शीर्षक | अध्याय | पिछले वर्ष के पेपरों में कितनी बार उपस्थित हुए |
1. | सीरीज एलसीआर सर्किट | विद्युत चुम्बकीय प्रेरण और प्रत्यावर्ती धाराएँ | 6 |
2. | एसएचएम का गति समीकरण | दोलन और तरंगें | 7 |
3. | निरंतर आवेश वितरण के कारण विद्युत क्षमता (II) | इलेक्ट्रोस्टैटिक्स | 5 |
4. | प्रतिरोध और प्रतिरोधकता | विद्युत् धारा | 6 |
5. | प्रतिरोध का समानांतर समूहन | विद्युत् धारा | 4 |
6. | किरचॉफ का दूसरा नियम | विद्युत् धारा | 4 |
7. | विद्युत चुम्बकीय तरंगों की प्रकृति | विद्युतचुम्बकीय तरंगें | 4 |
8. | पूर्ण आंतरिक परावर्तन | प्रकाशिकी | 4 |
9. | यंग का डबल स्लिट प्रयोग -1 | प्रकाशिकी | 4 |
10. | एक इलेक्ट्रॉन की डी-ब्रॉगली तरंग दैर्ध्य | पदार्थ और विकिरण की द्वैत प्रकृति | 4 |
11. | लॉजिक गेट्स | इलेक्ट्रॉनिक उपकरण | 7 |
1. नीट के लिए महत्वपूर्ण भौतिकी फॉर्मूला - सीरीज एलसीआर सर्किट (Important Physics Formula For NEET - Series LCR Circuit)
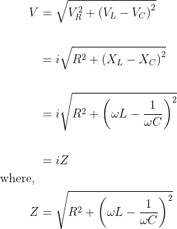
मान लीजिए 'i' किसी भी समय सर्किट में करंट की मात्रा है, और VL, VC, और VR की क्षमता क्रमशः L, C और R पर विभव है।
इन सबके द्वारा, हम नीचे दिखाए अनुसार चरण आरेख बना सकते हैं -

तो, उपरोक्त चरण आरेख से, V वैक्टर VR और (VL -VC) के परिणाम का प्रतिनिधित्व करेगा। इस प्रकार समीकरण बनेगा -

यहाँ, Z को इस परिपथ की प्रतिबाधा कहा जाता है।
अब चरण कोण देखें। इस मामले के लिए चरण कोण इस प्रकार दिया गया है -
![]()
2. नीट भौतिकी के लिए महत्वपूर्ण सूत्र - एसएचएम की गति के समीकरण (Equations Of Motions Of SHM)

![]()
एसएचएम का सामान्य समीकरण
विस्थापन के लिए:-
![]()
Various displacement equations:-
![]()
![]()
![]()
![]()
वेग के लिए (v):-

त्वरण के लिए:-

![]()
तो यहाँ हम देख सकते हैं कि x और v के बीच चरण अंतर है ![]()
इसी प्रकार, v और a के बीच चरण अंतर है ![]()
इसी प्रकार, a और x के बीच चरण अंतर है ![]()
एसएचएम का विभेदक समीकरण:-
![]()
![]()
![]()
यदि किसी कण की गति इस समीकरण को संतुष्ट करती है, तो वह कण एसएचएम करेगा।
ये भी पढ़ें: नीट पीडीएफ के लिए भौतिकी फॉर्मूला शीट
पिछले पांच वर्षों में देखे गए नीट परीक्षा पैटर्न के आधार पर, हमने नीट परीक्षा के लिए महत्वपूर्ण रसायन शास्त्र फॉर्मूला तैयार किया है। पिछले पांच वर्षों में जिन अवधारणाओं ने सबसे अधिक अंक प्राप्त किए हैं, साथ ही वे कितनी बार उपस्थित हुए हैं और उन वर्षों में जिनमें उन पर आधारित प्रश्न पूछे गए हैं, नीचे दी गई तालिका में सूचीबद्ध हैं। नीचे सूचीबद्ध नीट रसायन विज्ञान फॉर्मूला इन उच्च स्कोरिंग अवधारणाओं पर आधारित है:
क्रम संख्या | अवधारणा_शीर्षक | अध्याय | पिछले 6 वर्ष के पेपर में कितनी बार उपस्थित हुए |
1. | अणुओं के आकार | रासायनिक बंधन और आणविक संरचना | 3 |
2. | घुलनशीलता और घुलनशीलता उत्पाद | साम्यावस्था | 3 |
3. | गैस नियम- बॉयल का नियम (दबाव-आयतन संबंध) | पदार्थ की अवस्थाएँ: गैसें और तरल पदार्थ | 3 |
4. | क्यूबिक सिस्टम का गणितीय विश्लेषण | ठोस अवस्था | 4 |
5. | कोलाइड्स पर आवेश | पृष्ठीय रसायन | 3 |
6. | ऑक्सीकरण अवस्था | डी और एफ ब्लॉक तत्व | 3 |
7. | एल्डिहाइड की निर्माण | एल्डिहाइड, केटोन्स और कार्बोक्जिलिक एसिड | 4 |
8. | न्यूक्लियोफिलिक अतिरिक्त अभिक्रिया | एल्डिहाइड, केटोन्स और कार्बोक्जिलिक एसिड | 5 |
9. | न्यूनीकरण एवं ऑक्सीकरण अभिक्रियाएँ | एल्डिहाइड, केटोन्स और कार्बोक्जिलिक एसिड | 4 |
10. | कार्बोक्जिलिक एसिड के रासायनिक गुण | एल्डिहाइड, केटोन्स और कार्बोक्जिलिक एसिड | 3 |
11. | कार्बोहाइड्रेट | जैविक अणु | 3 |
अणुओं के आदर्श आकार, जिनकी अनुमान इलेक्ट्रॉन युग्म और इलेक्ट्रॉनों एकाकी युग्म के आधार पर की जाती है, नीचे दी गई तालिका में उल्लिखित हैं:

सामान्य प्रतिनिधित्व![]()
![]()
घुलनशीलता और घुलनशीलता उत्पाद (Ksp) के बीच संबंध
s 0 0 - xs ys![]()
गैस नियम- बॉयल का नियम (दबाव-आयतन संबंध)
On Question asked by student community
Hello,
You can download the NEET NTA Model Papers 2025-26 from the Careers360 website. practising these papers will helps you to understand the exam pattern, tot identify the important topics, to improve time management, and overall it enhances your exam preparation.
LINK: https://medicine.careers360.com/articles/neet-sample-paper
Hope it helps!
The options for a PCB (Physics, Chemistry, Biology) medical student are vast, even if they don't pursue or crack NEET!
The best careers utilize the strong scientific foundation gained in high school.
A PCB background prepares you well for entrance exams like AIIMS Paramedical, JENPAS UG, or BITSAT. Don't limit yourself to NEET; use your science skills for highly in-demand careers in diagnostics, research, and therapy.
This article details a range of science career options available after Class 12: https://www.careers360.com/careers/articles/career-options-after-12th-science-pcb-counar
Hello,
Neet exam ke liye sabse important or crucial book NCERT hai.
Kisi bhi or book ko krne ke pehle make sure ki aap ncert achhe se krlo.
Uske baad physics me grip achhi krne ke liye hc verma kr skte hain mechanics le portion ke liye
Inorganic, organic chemistry or biology le liye strictly NCERT follow karein
Physical chemistry ke liye kisi module ki help lein
Hello,
The NEET application form usually opens in February and the last date is usually in March . The exam is generally held in May . The form is filled online on the official NTA NEET website.
For the SC category , you need at least 40% marks in Physics, Chemistry, and Biology in Class 12 to be eligible. The minimum age required is 17 years , and there is no upper age limit .
You can fill the NEET form only through the official NTA website when the registration starts.
Hope it helps !
Hello,
Yes, NEET 2026 study materials and books covering most scoring concepts are available in Hindi medium.
Here is most scoring concept in NEET:
Biology (50% weightage )
Cell Structure & Function
Chemistry
Physical Chemistry (Thermodynamics, Equilibrium)
Inorganic Chemistry (Coordination Compounds, p-block elements)
Physics
Mechanics (Laws of Motion, Work, Energy, Power)
Modern Physics (Semiconductors, Nuclear Physics)
Optics & Electrostatics
You can access book in Hindi from mentioned link below:
https://medicine.careers360.com/hi/articles/best-books-for-neet
Hope it helps.
NAAC A+ Accredited| Ranked #24 in University Category by NIRF | Applications open for multiple UG & PG Programs
Among top 100 Universities Globally in the Times Higher Education (THE) Interdisciplinary Science Rankings 2026
Amongst top 3% universities globally (QS Rankings) | Wide Range of scholarships available